电机转矩计算公式
电机转矩是衡量电机驱动能力的核心参数,反映了电机在旋转过程中克服负载并输出机械功的能力。无论是电机选型、驱动系统设计,还是控制参数整定,电机转矩计算都是绕不开的基础问题。本质上电机转矩来源于电磁作用力,即定子磁场与转子等效电流之间的相互作用所形成的电磁力矩。需要注意的是,转矩并不简单与电源电压平方成正比。电压主要通过影响磁通和电流大小,间接作用于转矩输出,其具体关系与电机类型、运行状态以及控制方式密切相关。我们从工程应用角度出发对常见的电机转矩计算方法进行系统梳理。
1. 电机转矩的物理定义与计算公式
1.1 电机转矩的物理定义
转矩用于描述力对旋转轴产生的旋转效应,是电机输出机械能的直接体现。从电磁角度看,电机转矩来源于载流导体在磁场中受到的电磁力作用;从力学角度看,转矩由作用力大小及其力臂共同决定。在国际单位制中,转矩单位为 N•m,其物理意义是:1N 的力作用在1m 的力臂上所产生的旋转效应。
1.2 电机转矩计算公式
经典力学中,转矩 T 定义为作用力 F 与力臂 r 的乘积,转矩的严格定义为向量形式:T = r × F,来源于此公式:T = r F sinθ,其中 θ 是 r 与 F 之间的夹角。在电机工程中通常只关注沿旋转轴的扭矩分量,当力垂直于力臂(θ = 90°)时,可简化为常用的标量形式:T = rF 。
1.3 功率-转速-转矩关系
功率 P、扭矩 T 和角速度 ω 之间的关系是旋转动力学和电机工程中的一个基本方程:P = T • ω 。其中:P = 机械功率 (W),T = 扭矩 (N•m),ω = 角速度 (rad/s)。角速度 ω 与转速 n(单位:r/min)之间的关系为:ω = 2πn / 60,将其代入功率方程,可得到常用的工程形式:p = 2πnT / 60,或者其他公式:T = 60P / 2πn 。该方程广泛应用于电机选型和负载匹配计算。
2. 不同类型电机的转矩特性
不同类型电机由于励磁方式、磁场结构及控制策略的差异,其转矩的形成机制和计算模型存在显著不同。为便于理解,下面按照以结构简单、模型直观到控制复杂为顺序,分别介绍直流电机、交流异步电机、永磁同步电机及步进电机的转矩特性。
2.1 直流电机转矩计算公式
直流电机具有结构简单、转矩控制直观的特点,其转矩模型是理解电机电磁转矩形成机理的基础。在磁通保持恒定的条件下,直流电机的电磁转矩仅由电枢电流决定,因此其转矩—电流关系呈线性特性。直流电机的电磁转矩公式为:
其中:KT 是转矩常数(N•m/A),由电机结构和励磁磁通决定;Ia 是电枢电流(A)。在国际单位制(SI)下,直流电机的转矩常数 ,KT 与反电动势常数 KE 数值相等,即:KT = KE 。该线性转矩模型为后续交流电机转矩分析提供了重要的理论参照。
2.2 交流异步电机转矩公式
与直流电机不同,交流异步电机的转矩形成依赖转差引起的转子电流,其转矩特性不再只是简单线性关系,而是与转速、转差率及电机参数密切相关。异步电机的转矩—转速特性曲线呈明显的非线性形态,其中包含多个具有工程意义的关键工作点。
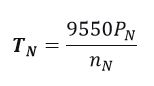
(1)额定转矩
在额定运行条件下,异步电机的额定转矩可由额定功率和额定转速计算得到额定转矩公式:
其中:TN = 额定扭矩(N•m),PN = 额定功率(kW),nN = 额定转速(r/min)。
(2)启动转矩(堵转转矩)
当转子处于静止状态时,异步电机处于启动工况。此时,在定子频率和参数不变的条件下,其启动转矩近似与定子电压平方成正比:Tst ∝ U12 。该公式为各种降压启动方法(包括星形-三角形启动和自耦变压器启动)提供了理论基础。
(3)最大转矩(临界转矩)
随着转速变化,异步电机在某一转差率下可输出最大转矩,该转矩又称为临界转矩或崩溃转矩。在忽略定子电阻影响的条件下,最大转矩与转子电阻无关,其大小主要取决于电源电压和总漏抗。
2.3 永磁同步电机转矩公式
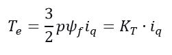
为了克服异步电机转矩控制精度有限的问题,永磁同步电机通过永磁体建立稳定磁场,并配合磁场定向控制,实现了对转矩的精确调节。在磁场定向控制条件下,永磁同步电机的电磁转矩公式可表示为:
第一项为永磁转矩,第二项为磁阻转矩。对于表贴式永磁同步电机(Ld = Lq),磁阻转矩项消失,转矩公式可简化为:
其中:Te = 电磁转矩(N•m),p = 极对数,ψf = 永磁体磁链(Wb),id , iq = d 轴和 q 轴定子电流(A),Ld , Lq = d 轴和 q 轴电感(H),KT = 扭矩常数(N•m/A)。
2.4 步进电机保持转矩
步进电机的保持转矩是指通电但转子静止时,电机所能承受的最大外加转矩。该参数主要反映其静态承载能力,通常由厂家在额定条件下给出。需要注意的是,保持转矩不等同于运行转矩,在高速或细分控制状态下,实际输出转矩会明显下降。
3. 系统转矩需求分析
在实际工程中,电机选型往往受加速转矩而非稳态负载转矩限制,因此必须从系统角度进行分析。系统所需转矩可表示为:TL = Tload + Tfric + Tacc,其中:TL 是系统总负载转矩,Tload 是工作负载转矩(如搬运、切削、输送等),Tfric 是系摩擦转矩(轴承、密封、导轨等),Tacc 是系加速转矩,用于克服系统惯量,前两项为静态转矩,加速转矩体现了系统的动态特性。
3.1 加速转矩计算
在旋转系统中,加速转矩由系统等效转动惯量与角加速度决定:Tacc = Jeq • α,公式中的角加速度:α = ωmax / tacc 。
3.2 转动惯量的计算与折算
常见几何体的转动惯量公式是:J = 1/2 mr 2,复杂结构通常通过CAD或平行轴定理计算。当直线运动负载通过滚轮或皮带机构转换为旋转运动时,其等效转动惯量为:J = mr 2 。若存在减速器,折算到电机轴侧:Jmotor = Jload / i 2 。
4. 电机选型中的转矩计算实例
为说明系统转矩分析方法,下面以传送带驱动系统为例进行完整计算。已知工况条件:负载质量:m = 200 kg,皮带轮半径:r = 0.1 m,摩擦系数:μ = 0.05,最大线速度:vmax = 1 m/s,加速时间:tacc = 0.5s,减速比:i = 10:1,传动效率:η = 0.9。
电机选型中的转矩计算过程:
1. 负载阻力计算过程:F = mgμ = 200 × 9.8 × 0.05 = 98N
2. 负载轴侧转矩计算过程:Tload,shaft = F • r = 98 • 0.1 = 9.8N•m
3. 折算到电机轴, 考虑齿轮箱传动比和传动效率:Tload = Tload,shaft / ( i • η ) = 9.8 / (10 × 0.9) ≈ 1.09N•m
4. 角速度与角加速度计算过程:
负载轴最大角速度:ωload = vmax / r = 1 / 0.1 = 10rad/s
电机轴最大角速度:ωmotor = i • ωload = 100rad/s
角加速度:α = ωmotor / tacc = 100 / 0.5 = 200rad/s2
5. 等效转动惯量计算公式:
负载侧等效惯量:Jload = mr 2 = 200 × 0.12 ≈ 2kg•m2
折算到电机轴: Jmotor = Jload / i 2 - 2 / 102 = 0.02kg•m2
6. 加速转矩计算公式:Tacc = Jmotor • α = 0.02 × 200 ≈ 4N•m
7. 峰值转矩需求:Tpeak = Tload + Tacc = 1.09 + 4 ≈ 5.09N•m
5. 转矩测量与验证方法
5.1 直接测量
应变式扭矩传感器:基于轴的剪切应变测量,其理论关系为:T = ( G Jp ε ) / r,其中 G 为剪切模量,Jp 为极惯性矩,ε 为应变,r 为测量半径。
磁弹性扭矩传感器:利用铁磁材料磁导率随应力变化的特性,适用于在线测量。
5.2 间接计算
在已知电机参数和控制方式时,可通过电流估算转矩:
直流电机 / PMSM:T = KT • I
或通过电流估算:T = 3/2 p ψf iq
最后,电机转矩计算是机电系统设计中的核心环节。工程中应综合考虑电机类型、负载特性、传动效率、惯量折算以及工作周期特征。一般建议在计算结果基础上预留 15%~25% 的安全裕量,对于频繁启停或变载工况,应进一步进行动态仿真和热校核。
